技术能力
电子超纯水
高级别电子超纯水整体解决方案
UPW-HiDB超纯水抛光除硼系统
Oxi-HiDu小分子有机物强化去除技术
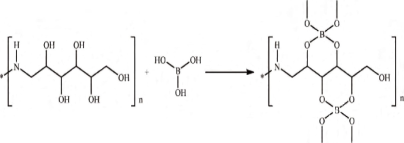
Reg-PMBR抛光树脂再生技术
电子工业废水
半导体整厂废水系统
液晶整厂废水系统
光伏整厂废水系统
PCR-HiDF含氟废水高标准排放技术
工业废水
工业废水零排放技术
水处理药剂
焦化废水处理及分盐关键技术
生物制药废水处理及零排放技术